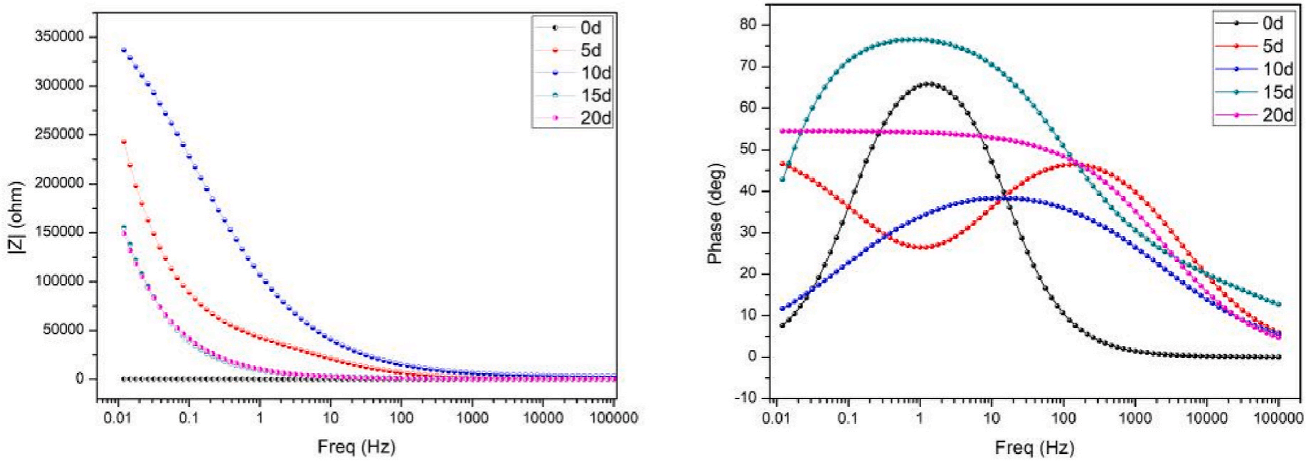
Study of corrosion behaviour of polyurethane-ZnO/Zn composite coatings in NaCl solutions
作者: 时间:2024-11-21 14:33 点击数:
Study of corrosion behaviour of polyurethane-ZnO/Zn composite coatings in NaCl solutions
Materials Chemistry and Physics,2024,324,129621
Yanxia Liu, Tian Wen, Meijuan Zhao, Bobo Meng, Huiqing Hao, Zhiyu Yuan, Xiangfeng Meng, Zhiping Wang, Hong Jin, Lihuan Hou, Xueqing Wu, Yali Wu, Xiuqing Xu, Junwei An, Jiazhao Qu, Xiaoting Lu





